Реле тиску для гідроакумулятора: як правильно встановити і налаштувати
Основні елементи автономної насосної станції — насос, накопичувальна ємність, реле тиску для гідроакумулятора і зворотний клапан. Напірний агрегат накачує заданий об’єм води в мережу. Гідроакумулятор накопичує і підтримує постійний напір для подачі води споживачеві. Вузол керування забезпечує стабільний цикл роботи обладнання системи холодного водопостачання. Розглянемо докладніше, де застосовується і як налаштувати гідроакумулятор і реле тиску.
Реле тиску води регулює включення і відключення пристрою, що подає воду в гідробак
Гідроакумулятор в системі холодного водопостачання
Пряме підключення заглибного або поверхневого насоса є причиною нестабільного водопостачання. Напірний агрегат працює вхолосту при мінімальному водоспоживання. Наявність гравітаційного чи пневматичної накопичувача в системі не вимагає постійної роботи первинного нагнітача тиску. Резервна ємність підтримує постійний витрата води на господарсько-питні потреби. Запас води знижує залежність індивідуального водопостачання від зовнішніх факторів.
Гравітаційна конструкція гідроакумулятора являє собою атмосферну ємність з поплавковим датчиком рівня. Відкритий бак встановлюють на горищі будинку, вище точок відбору води. Напір в системі створює вага стовпа рідини. Керує роботою насоса поплавковий механізм або датчики рівня.
Насосна станція з гідроакумулятором і реле тиску
Сучасні гідравлічні накопичувачі для автономного водопостачання працюють завдяки надлишковому тиску в повітряній камері. Принцип роботи пневматичних акумуляторів побудований на взаємодії стиснутого повітря і води. Насос, який накачує воду в гумову грушу, яка знаходиться всередині корпусу. Обсяг повітряної камери зменшується, а тиск зростає. У проміжках між включеннями агрегату, повітря виштовхує запас води з мембрани в мережу споживача.
Вода не стикається з внутрішніми стінками герметичного балона. Повітряна камера відокремлює мембрану від металевого корпусу. Якщо гідроакумулятор використовують у системі питного водопостачання, то матеріалом мембрани служить хімічно нейтральний каучук. При використанні бака акумулятора в системі опалення або гарячого водопостачання використовують мембрани з високою опірністю до впливу високих температур.
Конструкція мембранного бака
Існують вертикальні і горизонтальні моделі пневматичних акумулюючих баків різної ємності. Схему підключення гідроакумулятора визначає тип насоса і модель накопичувача. Горизонтальні баки використовують для виносних поверхневих агрегатів. Нагнітач тиску встановлюють на платформу, у верхній частині корпуса накопичувача (тобто балон знаходиться нижче самовсмоктуючого насоса).
Стаття по темі:

Насосні станції з зануреними агрегатами комплектують вертикальними накопичувачами. Гідроакумулятор знаходиться вище рівня установки глибинного насоса.
Обсяг гідропневматичного бака-накопичувача залежить від годинної витрати води, потужності і частоти включення насоса, висоти системи трубопроводів. Чим більше витрата води і менше перепад тисків на включення/вимикання насоса, тим більше місткість гідроакумулятора.
Типова схема автономного водопостачання зі свердловини
Конструктивні елементи гідроакумулятора:
- герметичний металевий корпус, призначений для роботи під тиском (1,5÷6 атмосфер);
- еластична мембрана — внутрішня ємність для запасу води;
- фланець з клапаном для кріплення мембрани до корпусу і заповнення її водою;
- ніпель для закачування повітря в повітряну камеру балона;
- клапан для скидання повітря з водяною камери (для гідроакумуляторів, обсяг яких перевищує 100 літрів);
- кронштейн для кріплення невеликої ємності на стіні або опорні ніжки, з установочними гумовими прокладками для моделей більшої місткості;
- в комплект горизонтального бака входить опорний кронштейн для спільної установки поверхневого насоса з гідроакумулятором і реле тиску.
Важливо! Первинне заповнення гідравлічного балона акумулятора водою виробляють поступово, щоб не пошкодити цілісність груші, т. к. після зберігання стінки гумової мембрани зазвичай склеюються.
Насосна станція допоможе досягти повноцінного автономного водопостачання дачі
Розрахунок обсягу гідроакумулятора
Методика підбору гідроакумулятора призначена для індивідуальних будинків, які споживають велику кількість води (каналізація, ванна, душ, кілька змішувачів, біде, пральна і посудомийна машина). За кількістю точок водорозбору визначають сумарний коефіцієнт споживання і максимальний витрата води на господарсько-питні потреби. Обсяг гідроакумулятора визначають за формулою:
V — обсяг гідроакумулятора, л;
Qмакс — максимальний витрата води на господарсько-питні потреби, л/хв;
а — кількість пусків системи в годину (рекомендоване значення 10 пусків);
Рмин — тиск включення насоса, атм.;
Рмакс — тиск вимикання насоса, атм.;
Рв — тиск повітряної камери гідроакумулятора, атм.
Конструкція водопостачання складається з: 1 — гідроакумулятора; 2 — насоси; 3 — реле тиску; 4 зворотного клапана; 5 — електроживлення
Стандартну установку водопостачання для невеликого будинку з сезонним проживанням, як правило, оснащують гідроакумулятором ємністю 24 літри. Для будинку з кількістю точок розбору більше трьох вибирають накопичувач об’ємом 50 літрів. Причому в технічному паспорті обладнання виробник вказує загальний обсяг балона (повітряна камера в тому числі).
Регулювання робочого тиску гідроакумулятора
Для побутового водопостачання одноповерхових будинків, величина тиску в одну атмосферу вважається достатньою. Однак слід враховувати, що тиск повітря повітряної камери повинно перевищувати величину статичного тиску найбільш високої точки відбору води.
Максимальне значення тиску відключення залежить від напірної характеристики насоса. Напір, який нагнітає насос, розділений на 10, відповідає значенню верхнього порогу спрацьовування системи автоматичного водопостачання. Поправку роблять на лінійне гідравлічний опір, реальне напруга електричної мережі, технічний стан обладнання і висоту системи водопостачання будинку.
Комплектуючі для регулювання тиску води в гидробаке
Рекомендована різниця між тиском включення і виключення насоса для автономного водопостачання становить 1,0÷1,5 атмосфери. Збільшення заводської настройки (1,5 атмосфери) зменшить резервний об’єм і підвищить тиск в системі. Високий тиск холодного водопостачання збільшує витрату, призводить до нераціонального використання енергоресурсів.
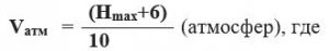
Формула для розрахунку величини необхідного тиску в гидроаккумуляторе:
Hmax — висота в метрах від центральної лінії гідроакумулятора до верхньої точки відбору води (для двоповерхового приватного будинку 6÷7 метрів).
Тиск повітря в повітряній камері демпферної ємності перевіряють і регулюють перед установкою, при збої налаштувань або порушення режиму роботи водопостачання. Під час регулювання живлення насосної станції відключають від мережі, воду з гідроакумулятора зливають.
Всі елементи скріплюються між собою за допомогою фітингів
Пневматичний клапан повітряної камери розташований під декоративним ковпачком на корпусі бака. Відповідність або відхилення тиску від заданих робочих параметрів визначають за допомогою манометра, підключеного до золотнику. За результатами виміру стравлюють надлишок повітря або підкачують тиск повітряної камери автомобільним насосом.
Якщо регулювання робочих параметрів гідроакумулятора не принесла бажаного результату, то перевіряють параметри реле тиску.
Пристрій реле тиску для гідроакумулятора
Реле тиску керує роботою насоса і регулює наповнення пневмогідравлічного накопичувача. Прилад поєднує, контролює і регулює роботу обладнання системи холодного водопостачання.
Зовнішній вигляд вузла керування роботою насоса нагадує невелику пластикову коробку. Прилад монтують біля входу в бак-накопичувач. Реле тиску для гідроакумулятора складається з механічної та електричної частини.
Реле тиску в розібраному вигляді
Елементи стандартної конструкції реле тиску:
- пластиковий корпус (кришка з гвинтами і підстава);
- металева кришка мембрани (з гайкою для приєднання до трубопроводу);
- гумова мембрана;
- латунний поршень;
- дві шпильки з різьбленням і гайками;
- велика і мала регулювальні пружини;
- металева пластина підстави;
- шарнірна платформа;
- електричний контактний вузол з плоскою пружиною;
- муфти для затиску кабелю;
- клемна колодка.
Конструкція реле тиску та його регулювання
Пружинний регулювальний механізм і коробку підключень захищає пластикова кришка. Металеву пластину підстави знизу підтримує пластиковий корпус. Підстава відокремлює робочий орган (мембрана з поршнем) від виконавчого механізму (шарнірна платформа, дві регулювальні пружини на шпильках і електричний контактний вузол).
Електричну частина реле тиску води являє двухконтактное реле комутації електричних ланцюгів. Ніжки електричного контактного вузла затиснуті між металевою пластиною підстави і пластиковим корпусом. Дві муфти для затиску кабелю (від мережі і лінія електроживлення насоса) і вузол підключення реле до гідроакумулятора розташовані на підставі пластикового корпусу.
Стандартний діаметр підвідного патрубка ¼ дюйма. З боку приладу внутрішній перетин гайки кріплення до перехідника обмежена гумовою мембраною. Зворотно-поступальний рух еластичною перетинки повідомляється латунному поршня, який передає зусилля шарнірної металевій платформі.
Манометр використовується для вимірювання тиску води
Зверху, на рухливий край платформи, тиснуть велика і мала пружина, які протидіють зусилля поршня. Ступінь стиснення великої пружини регулює момент включення насоса. Діапазон малої деформації пружини забезпечує відключення напірного агрегату.
Способи підключення реле тиску до гідроакумулятора
Розрізняють схеми підключення реле тиску до гідроакумулятора з води та електрики.
Як підключити реле тиску по воді?
З’єднувальний патрубок вузла підключення реле тиску гідроакумулятора до трубопроводу жорстко зафіксований. Прилад монтують в зібраному стані. Перед початком збирання потрібно забезпечити достатній простір для обертання корпусу при монтажі реле тиску.
Пристрій нагвинчують на окремо врізану в трубопровід різьблення або виробляють монтаж безпосередньо на вихідний патрубок гідроакумулятора через спеціальний фітінг. Штуцер з п’ятьма виходами дозволяє встановити контрольний манометр поряд з приладом керування роботою насоса.
Підключення проводів до реле тиску
Як підключити реле тиску до гідроакумулятора по електричній частині?
Пряме включення реле тиску виробляють від мережі 220В за умови, що сила робочого струму насоса не перевищує 10 Ампер.
Перед підключенням кабелю з приладу знімають захисну пластикову кришку. Електричний кабель лінії живлення або насоса заводять у відповідну муфту. Зовні провід фіксують гайкою з обтискним пластиковим кільцем. Позначення груп контактів вказано на корпусі. Кінець кабелю поділяють на жили. Фазу, нейтраль, заземлення зачищають від ізоляційної обплетення і приєднують до клем групи контактів.
Важливо! Електромонтажні та регулювальні роботи проводять при відключеному від мережі обладнанні. Підключення електричної частини виконують з дотриманням нормативних правил технічної експлуатації і техніки безпеки в електроустановках.
Реле автоматизує роботу насосної станції і відключає подачу води при досягненні заданої відмітки
Правила регулювання реле тиску для гідроакумулятора
Реле контролює мінімальний і максимальний тиск в баку-акумуляторі, підтримує різницю тиску при включенні/відключенні насоса. Межа допустимих настроювальних значень реле залежить від годинної витрати і потужності насоса.
Характеристики заводський налаштування вказані в технічному паспорті виробу. Стандартне значення установки реле тиску для систем водопостачання — 1,0÷5,0 атмосфер. Стартовий тиск — 1,5 атмосфери. Діапазон роботи двигуна насоса — 2,5 атмосфери. Максимальний тиск відключення агрегату — 5,0 атмосфер.
Якщо заводські настроювальні параметри не актуальними або стався збій роботи установки, настроювання і регулювання реле тиску води проводять самостійно, з допомогою манометра. Контрольно-вимірювальний прилад встановлюють на колекторі гідроакумулятора. Корекцію проводять за показаннями манометра, після того, як насос вимикається. Перепад тиску створюють відкриттям крана в найближчій до гідроакумулятора точці відбору води.
Підключення реле тиску і блоку автоматики до погружному насосу
Налаштування реле тиску гідроакумулятора проводять під тиском, без відключення насосної станції від електроживлення. Насос повинен заповнити накопичувальну ємність і підняти тиск у мережі. Коли реле спрацює і відключить двигун агрегату, необхідно зняти пластикову кришку корпусу і повністю послабити ступінь натягу малого пружинного механізму.
Як відрегулювати реле тиску води на мінімальний тиск включення насоса?
Налаштування великий регулювальної пружини:
- притискну гайку повертають за годинниковою стрілкою, щоб збільшити стартовий тиск;
- ослаблення натягу — зменшує тиск спрацьовування реле і включення двигуна;
- для перевірки результату регулювання відкривають водопровідний кран і зливають воду до моменту включення насоса.
Регулювання реле тиску здійснюється за допомогою двох гайок: великої і малої
Як відрегулювати реле тиску гідроакумулятора по тиску відключення насоса?
Налаштування малої регулювальної пружини:
- гайку на шпильці малої пружини закручують, щоб збільшити різницю тиску;
- ослаблення натягу дозволяє знизити тиск відключення двигуна;
- результат корекції перевіряють пробним включенням насоса.
Якщо показання манометра збігається з необхідним значенням при включенні/виключенні двигуна, регулювання завершена. При неможливості регулювання діючого приладу своїми силами, користуються послугами кваліфікованих фахівців або купують новий прилад. Якщо вирішено придбати реле тиску для гідроакумулятора, то звертають увагу на сумісність роботи з насосним обладнанням і спосіб підключення приладу до електроживлення.
Автоматика з захистом від сухого ходу на базі чотирьох фітингів
Важливо! Збільшення стартового значення заводської настройки реле тиску гідроакумулятора (вище 1,5 атмосфер) створює критичну навантаження на мембрану гідроакумулятора. Робочий діапазон насоса змінюють з урахуванням максимально допустимого тиску для водорозбірної арматури. Граничний тиск, на який розраховані ущільнювальні кільця змішувачів і кранів, становить 6 атмосфер.
Тиск повітря повітряної камери гідроакумулятора не впливає на роботу реле тиску та насосної станції в цілому. Відсутність або нестача повітря призводить до надмірного розтягування мембрани і спрацюванню насоса при кожному відборі води з системи. Підвищений надмірний тиск повітряної камери зменшує обсяг запасу води в мембрані і інтервал спрацьовування установки напірної. Часте вмикання-вимикання насоса знижує часовий ресурс служби агрегату.
Нормальна робота насосної станції можлива за умови, що тиск повітряної камери гідроакумулятора на 10% нижче тиску включення насоса. Грамотне налаштування і регулювання реле тиску та гідроакумулятора забезпечить роботу насоса без перевантажень, оптимальне заповнення накопичувача водою. Комплексний підхід до настроювання і регулювання устаткування продовжить термін служби мембрани і підвищить надійність системи автономного водопостачання.
Артем Іванов 2017-07-20T10:41:13+00:00 Водопостачання| ОЦІНИТЕ
МАТЕРІАЛ
Завантаження… ПОДІЛІТЬСЯ
У СОЦСЕТЯХFacebookTwitterOkGoogle+PinterestVk


















